
Erwin Schrödinger
Erwin Schrödinger – A Legacy of Science, Philosophy, and the Quest for Understanding Consciousness
Erwin Schrödinger, an Austrian physicist, is celebrated as one of the most influential figures in 20th-century science. Winner of the Nobel Prize in Physics in 1933, Schrödinger made groundbreaking contributions to quantum mechanics, biology, and philosophy. While his name is often associated with the iconic “Schrödinger’s cat” thought experiment, his life and works encompass much more than quantum paradoxes. Notably, Schrödinger’s philosophical exploration of consciousness as a singular entity remains a profound and sometimes controversial aspect of his intellectual legacy.
Early Life and Education
Erwin Rudolf Josef Alexander Schrödinger was born on August 12, 1887, in Vienna, Austria. Raised in a well-to-do family, Schrödinger had access to exceptional educational opportunities. His father, Rudolf Schrödinger, was a successful botanist and factory owner, and his mother, Georgine, was deeply involved in Erwin’s intellectual upbringing.
Schrödinger’s academic journey began at the University of Vienna, where he was mentored by Friedrich Hasenöhrl, a physicist deeply influenced by Ludwig Boltzmann. Schrödinger developed an early fascination with theoretical physics and mathematics. This foundational education prepared him for a life of scientific inquiry that would revolutionize multiple disciplines.
Scientific Achievements
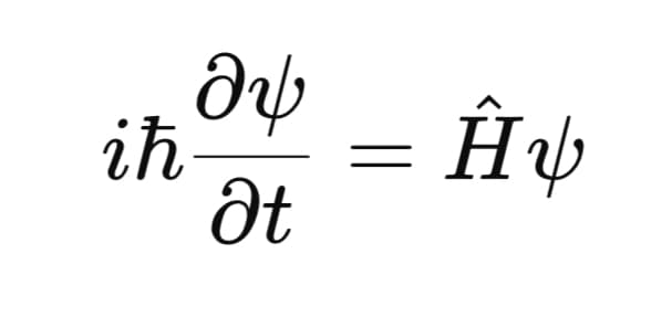
1. Quantum Wave Mechanics
Schrödinger is best known for formulating wave mechanics, a foundational aspect of quantum mechanics. His most significant achievement was the Schrödinger equation, introduced in 1926. This equation describes how quantum states evolve over time and is one of the cornerstones of modern physics. The equation can be written as:

Here, ψ represents the wave function, which encodes all the information about a quantum system, and H^ is the Hamiltonian operator representing the system’s energy.
The introduction of wave mechanics offered an alternative to Werner Heisenberg’s matrix mechanics, and the two were later shown to be mathematically equivalent. Schrödinger’s approach, however, was more intuitive and widely adopted by physicists.
2. Schrödinger’s Cat
To illustrate the counterintuitive nature of quantum mechanics, Schrödinger devised his famous thought experiment involving a cat. In this hypothetical scenario, a cat inside a sealed box is simultaneously alive and dead until observed, due to quantum superposition. This paradox was not intended to suggest that cats exist in such states but to critique the Copenhagen interpretation of quantum mechanics.
This thought experiment sparked philosophical debates about the role of observation in determining reality, discussions that remain unresolved in modern physics.
Beyond Physics, his Contributions to Biology
Schrödinger was also a pioneer in molecular biology. His influential book, “What Is Life?” (1944), laid the groundwork for understanding the molecular basis of genetics. In this work, he proposed the idea of a “code-script” that stores genetic information—a prescient insight that anticipated the discovery of DNA as the genetic material by Watson and Crick in 1953.
This interdisciplinary foray showcased Schrödinger’s belief in the unity of science. His ability to bridge physics and biology inspired generations of researchers to approach scientific problems from multiple perspectives.
Philosophy and the Nature of Consciousness
1. Consciousness as a Singular Entity
Schrödinger’s philosophical writings delve deeply into the nature of consciousness, which he argued is fundamentally unitary. Drawing from Vedantic philosophy, he posited that individual consciousnesses are mere manifestations of a single, universal consciousness. He articulated this view in his essay “Mind and Matter”:
“The multiplicity is only apparent. In truth, there is only one mind.”
This perspective challenges the prevailing dualist and materialist paradigms in Western philosophy, suggesting instead a form of monism akin to ancient Indian thought.
2. Influence of Eastern Philosophy
Schrödinger was profoundly influenced by Hinduism and Buddhism, particularly the Upanishads. He believed that these ancient texts offered insights into the interconnectedness of all existence and the illusory nature of individuality. His famous assertion that “I am God” is not a declaration of personal divinity but a reflection of the Advaitic idea that the self (Atman) is identical to the ultimate reality (Brahman).
3. Legacy in Consciousness Studies
Though controversial, Schrödinger’s ideas about consciousness continue to influence contemporary discussions. His work resonates with modern theories in neuroscience and quantum consciousness, such as those proposed by Roger Penrose and Stuart Hameroff. While his views are speculative, they highlight the importance of integrating philosophical and scientific approaches to understanding the mind.
Schrödinger’s Legacy
1. Impact on Quantum Mechanics
Schrödinger’s contributions to quantum mechanics are unparalleled. His wave equation remains indispensable in physics, underpinning technologies like semiconductors, lasers, and quantum computing.
2. Interdisciplinary Approach
Schrödinger’s willingness to cross disciplinary boundaries has inspired countless scientists to adopt holistic approaches to research. His vision of science as a unified endeavor is increasingly relevant in addressing complex, global challenges.
3. Philosophical Influence
Schrödinger’s philosophical writings on consciousness have sparked enduring debates. His integration of Eastern philosophy into Western scientific discourse paved the way for cross-cultural intellectual exchanges.
4. Humanist Perspective
Despite his towering intellect, Schrödinger emphasized the importance of human values and ethical considerations in scientific progress. His life exemplifies a commitment to intellectual curiosity and the pursuit of truth.
Examples of Schrödinger’s Influence
- Quantum Computing: The principles of quantum mechanics, including Schrödinger’s wave functions, are foundational to the development of quantum computers.
- Molecular Biology: His book “What Is Life?” directly inspired the discovery of DNA’s structure, revolutionizing biology and medicine.
- Philosophy of Mind: Contemporary discussions on the “hard problem of consciousness” echo Schrödinger’s insights about the unity of experience.
- Popular Culture: The paradox of Schrödinger’s cat has transcended academia, becoming a cultural reference point for debates on reality and observation.
Conclusion
Erwin Schrödinger was not only a scientist but a philosopher and humanist whose ideas continue to challenge and inspire. From his pioneering work in quantum mechanics to his visionary insights into consciousness, Schrödinger exemplified the spirit of intellectual exploration. His legacy reminds us that the quest for knowledge is not merely about accumulating facts but about seeking deeper truths about existence and our place in the universe. As we continue to grapple with the mysteries of consciousness, Schrödinger’s vision of a singular, interconnected reality serves as a profound guidepost for future inquiry.
Consciousness is a singular entity
Featured Video!
Make your own inventive corner
Ready to start your own website and share your passion with the world? Join me and unlock step-by-step training to build your online presence just like I did! Use my links if you want me as your coach!


